Математик представил наглядное доказательство теоремы Пифагора
Математик Андрес Навас из Университет де Сантьяго де Чили представил очередное простое и наглядное доказательство теоремы Пифагора. Посвященный исследованию препринт автор опубликовал на сайте arXiv.org.
Теорема Пифагора утверждает, что в прямоугольном треугольнике (то есть треугольнике с прямым углом) квадрат гипотенузы (самой большой стороны, располагающейся напротив прямого угла) равен сумме квадратов катетов (двух отличных от гипотенузы меньших сторон). В настоящее время известно более 350 различных доказательств этого утверждения.
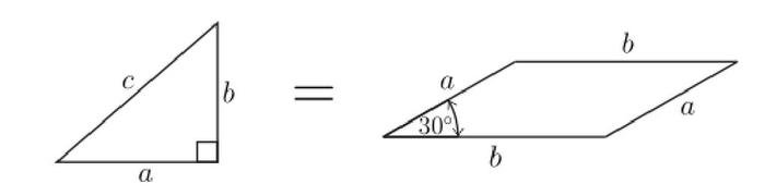
Навас использует теорему Бойяи — Гервина, которая утверждает равносоставленность двух любых равновеликих многоугольников. Ученый совершает два поворота треугольника АВС: первый — вокруг точки А на угол 60 градусов против часовой стрелки, второй —вокруг точки В на 60 градусов по часовой стрелке.
Затем Навас рассчитывает площадь образовавшегося многоугольника, составленного их двух многоугольников, площади которых равны площади треугольника АВС, и равностороннего треугольника со стороной с, откуда и выводит требуемое утверждение.
Теорема Пифагора, как утверждает в своей книге «Пробуждающаяся наука. Математика древнего Египта, Вавилона и Греции» нидерландский математик и историк науки Бартель ван дер Варден, была известна еще в XVIII веке до нашей эры жителям Вавилона, а также индийцам и египтянам. Широкую известность она получила после публикации 13 книг «Начал» Евклида, где в конце первой книги формулируется и доказывается теорема Пифагора.
Комментарии
https://www.youtube.com/watch?v=U9-8j3puFvE
Была как-то у меня задачка, в составе нескольких человек разметить футбольное поле в дет. саду. И никто не знал как сделать его идеально прямоугольным!
Рядом лежала верёвка и теорему Пифагора народ всё же помнил. А вот взять верёвку, отмерить 3длины+4длины=5длин, никто не догадался.
http://maxpark.com/community/5302/content/3354755
http://maxpark.com/community/4648/content/5141059
За математику уже давно и многие сказали. Но можно ограничиться и тем, что математика - это определённый уровень культуры. Ну вот, как-то так.
http://maxpark.com/community/4648/content/5001330
Ничуть не меньшую, чем ТАСС, Russia Today etc.
http://maxpark.com/community/5302/content/3389375
http://maxpark.com/user/4296720174/content/5029736
Хотя бы такого
http://maxpark.com/community/5862/content/4917047
Это пока, вопрос без ответа, как и полигональная кладка и египетские пирамиды. Если бы их строили так, как нам рассказывают египтологи, в Сахаре должна была расти огромная... ТАЙГА! А дерево в Египте, всегда было на вес золота! И вся гипотеза постройки пирамид, только из-за этого, летит ко всем чертям. )))
Да, воистину великое научное достижение!
могут попытаться воспроизвести доказательство чилийца по наводкам
0
1
2
3
4
5
6
Может проще надо быть?
Впрочем я пошёл в город, вечером вернусь к этому вопросу, а пока пусть у вас голова болит :-)
2. Вы не угадали, но мне лень вставлять за перепостера две последние картинки. Да ещё и комментировать на всякий случай. Кликните сами по моей ссылке на pdf-статью, раз уж не усмотрелось чисто геометрическое доказательство.
В ответ на такой ужин для ума - нешуточные "доказательства" из American Journal of Applied Mathematics:
про квадратуру круга
http://article.sciencepublishinggroup.com/pdf/10.11648.j.ajam.20140203.11.pdf
трисекцию угла
http://article.sciencepublishinggroup.com/pdf/10.11648.j.ajam.20150304.11.pdf
и удвоение куба
http://article.sciencepublishinggroup.com/pdf/10.11648.j.ajam.20150306.13.pdf
Ну, во-первых как известно я не ошибаюсь, а во-вторых та методология, что предлагаете Вы и автор давно известна, на Руси в том числе, и определена выражением "переливать из пустого в порожнее" и совсем небезобидна, как может показаться на первый взгляд, почему святые отцы и изрекли в своё время - "Всякое излишество вредно", ну или: "...да будут слова ваши да - да, нет - нет, а что сверх того, то от лукавого..." © :-(
Впрочем не будем судить их строго, рецензируемый журнал как-никак, может я чего и не разглядел...
Печалит другое - на эти "нюансы" никто здесь практически не обратил внимания, то есть обсудить тему некому, но это базовый уровень... Впрочем я всегда придерживаюсь идеи инволюции :-(
Не всё так плохо. Попробую посмотреть некоторые ответы на Вашей статье от 14 (?) апреля - там есть интересные замечания.
PS Вот эта статья:
http://newsland.com/community/5654/content/5178015
Вот его редакторы и рецензенты: http://www.sciencepublishinggroup.com/journal/index?journalid=148
2. Мне больше нравится первая статья. Где недоработавшим методом бисекции получено,
что ПИ=3.2. ==> Фукусимская АЭС имеет право сэкономить на диаметре труб систем аварийного охлаждения.
3. По Вашей ссылке нашёл чужую статью. В комментариях к которой ссылался на свои старые тексты. Кстати, учтите: Задача о Дираке лежит в колхозе, лишившем меня права отвечать комментаторам моих статей. А забирать оттуда текст уже поздно - адрес гуляет по студентам.
Но по порядку.
1. Список сотрудников поверг меня в депрессию. Нет, я не расист и в подтверждение скажу - лучше бы журнал набрал узбеков, те более принципиальны в вопросах математики.
2. А вот здесь я бы не был слишком критичен - сам давненько уже обнаружил сходную жилу - вроде бы любой угол является прямым углом (например от семидесяти до ста двадцати градусов, ограничиваюсь пока этим) и даже намерен накатать об этом статью на примере гражданского строительства, только вот никак не соберусь :-(
Ну и 3...
Вот с этим тяжелее. Я в командировке и ноутбук с собой не взял, так что не могу даже пройти по всем ссылкам, но мало этого - я вообще-то и не математик, так что тут от меня в обсуждении мало толка, мягко выражаясь.
Однако я запомню и при случае попытаюсь воспользоваться Вашим советом (если позволите).
Поясню коротенько.
В математике меня интересует только физический смысл. Конкретно для данного случая - числовые ряды. Ряд Лейбница например, но и другие. Я их не знаю и не занимался, но сложилось впечатление (у меня опять же), что числовое значение любого ряда может быть только иррациональным числом. Но множество реал...
Впрочем, среди нынешней российской профессуры часто такое бывает "Этого нет, этого не существует, а то, что знаю, то почему с жизнью не совпадает". - Нельзя отрицать то, чего не понимаешь!
http://ateist.spb.ru/forum/man.htm